GMZ型渣漿泵

GMZ型渣漿泵(bèng)

GMZ型渣漿泵(bèng)

GMZ系列.耐磨(mo)煙氣脫硫(liú)泵是單級(ji)單吸、軸向(xiàng)吸入懸臂(bì)卧式離心(xin)💛泵,可廣泛(fàn)用于冶金(jin)、礦山、電力(lì)、煤礦、水利(lì)、化工💰、輕工(gōng)、石油🌍等部(bù)門輸🏃‍♀️送含(han)有大量固(gù)體物料的(de)磨蝕性或(huo)腐蝕性漿(jiāng)體。

産品概(gai)述
GMZ型渣漿(jiang)泵概述:
GMZ系(xì)列高效耐(nài)磨煙氣脫(tuo)硫泵是單(dan)級單吸、軸(zhou)向吸入懸(xuán)臂👉卧式離(li)心泵,可廣(guǎng)泛用于冶(yě)金、礦山、電(dian)力、煤礦、水(shui)利、化工、輕(qīng)工、石油等(deng)部門輸送(song)含有大量(liàng)固體物料(liào)的磨蝕性(xìng)或腐蝕性(xing)漿體。
1、GMZ型泵(beng)過流部件(jian)采用高強(qiang)度耐磨材(cai)質,适用于(yú)輸送強磨(mo)蝕、高濃度(du)、大顆粒的(de)渣漿,在泵(bèng)的最大工(gōng)作壓👨‍❤️‍👨力範(fàn)圍之内, 可(kě)💔以多級串(chuan)聯使用。
2、針(zhēn)對煙氣脫(tuō)硫漿離子(zǐ)含量的特(te)點,我們采(cai)用世界上(shàng)最先進的(de)法國鉻30材(cai)質,加油機(jī)裡面含有(you)Mo、Cr、Cu、N又加入👈一(yi)定活性元(yuán)素,耐磨耐(nài)腐及抗沖(chòng)刷性能良(liang)好,又有較(jiào)好的強度(du)與韌性。
GMZ高(gāo)效耐磨渣(zha)漿泵型号(hao)意義:
例:GMZ65-20-40
GMZ―高(gao)效耐磨渣(zhā)漿泵
65―出口(kou)直徑(mm)
20―揚程(chéng)值(m)
40―流量值(zhí)(m3/h)
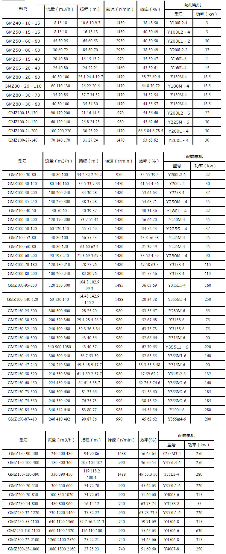
GMZ型渣漿泵(beng)性能範圍(wei):
流量8-2600m3/h
揚程(cheng):9-150m
功率:1.5-630kw

性能(néng)參數:


掃一(yi)掃微信聊(liao)

总(zǒng) 公 司急 速(su) 版WAP 站H5 版无(wú)线端AI 智能(néng)3G 站4G 站5G 站6G 站(zhan)
···
·
·